2020年国产精品被❌❌❌硕士研究生复试成绩公示
日期: 2020-05-14       点击量:9032
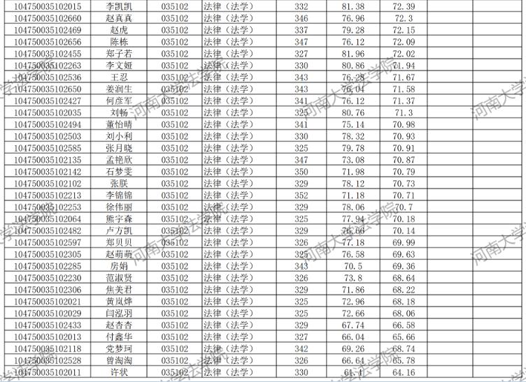
2020年国产精品被❌❌❌硕士研究生招生复试成绩公示如下:




如有疑问,请与国产精品被❌❌❌研究生与科研办公室联系。联系电话:0371-22864222,联系人:卢老师。
国产精品被❌❌❌研究生招生工作领导小组
2020年5月14日

2020年国产精品被❌❌❌硕士研究生招生复试成绩公示如下:




如有疑问,请与国产精品被❌❌❌研究生与科研办公室联系。联系电话:0371-22864222,联系人:卢老师。
国产精品被❌❌❌研究生招生工作领导小组
2020年5月14日